Study of over 800,000 people finds Black adults and households with more children had the highest risk
Rockville, Maryland (June 14, 2022) — As the COVID-19 pandemic brought stay-at-home orders and increased economic hardship, food insecurity across the U.S. grew significantly. A new study shows that certain groups experienced more food insecurity during the pandemic than others.
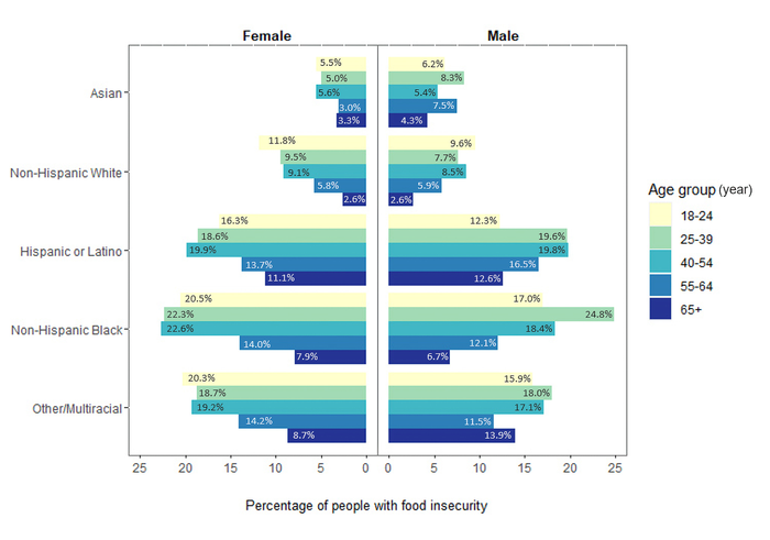
The researchers found that young, non-Hispanic Black males, middle-aged Black females and households with more children were the groups most likely to experience food insecurity. In addition, lower education and income as well as loss of employment were associated with increased food insecurity for all racial, gender and age groups studied.
“Our findings demonstrate that disproportionate food insecurity existed during the COVID-19 pandemic and was likely exacerbated by multiple risk factors,” said Zhongqi Fan, a graduate student at Tufts University Friedman School of Nutrition Science and Policy and the study’s lead author. “It also illustrates the persistent need for tailored food security initiatives to assist these vulnerable populations before, during and after a health crisis.”

Fan will present the findings online at NUTRITION 2022 LIVE ONLINE, the flagship annual meeting of the American Society for Nutrition held June 14-16.
For the study, the investigators examined publicly available data from 884,695 people who participated in the U.S. Census Bureau’s Household Pulse Survey between January 6 and July 5, 2021. The survey asked heads of households to select a statement that best described their food weekly intake and assessed a variety of socioeconomic factors.
The researchers considered a person food insecure if “sometimes not enough to eat” or “often not enough to eat” was selected on the survey. They then estimated the national level of food insecurity and compared food security differences between sociodemographic and socioeconomic subgroups.
The analysis identified several groups who were more vulnerable to food insecurity. For example, almost 25% of non-Hispanic Black male study participants 25 to 39 years old experienced food insecurity as did just under 23% of non-Hispanic Black females ages 40-54. Although the researchers expected to see food insecurity decrease after the 2020 COVID-19 economic stimulus package went into effect, the analysis showed that food insecurity remained high among households across the nation.
The researchers also found the highest rates of non-responses to survey questions regarding food insecurity among the most vulnerable subpopulations, particularly non-Hispanic Black people with the least education who recently become unemployed. This could indicate that food insecurity for these groups is underestimated.
“High non-response rates among hard-to-reach populations demonstrate the complexity of conducting truly representative surveillance using national survey strategies during public health emergencies,” said Fan. “These challenges must be considered to improve representative sampling techniques and to account for data limitations within statistical analyses performed by data analysts.”
The researchers are now working to expand the study to include April 2020 to March 2022 to better understand how prolonged COVID-19 burdens influenced drivers of food insecurity over time. “We plan to examine trends in the prevalence of food insecurity, risk factors most influencing insecurity over time and the effects of stimulus packages and health policies such as mass testing and vaccination,” said Fan.
The researchers also plan to explore differences in food insecurity by geographic locations to understand how federal health resources could be better mobilized to places that face persistent or emerging food insecurity.
This research was conducted under the supervision of Elena N. Naumova, PhD, Tufts University Friedman School of Nutrition Science and Policy; Kimberly Nguyen, DrPH, Tufts University School of Medicine and Naglaa El-Abbadi, PhD, Jean Mayer Human Nutrition Research Center on Aging.
Fan will present this research on-demand starting at noon on Tuesday, June 14, during the NUTRITION 2022 LIVE ONLINE Current Issues in Nutrition Insecurity session (abstract; presentation details).
Image available.
Please note that abstracts presented at NUTRITION 2022 LIVE ONLINE were evaluated and selected by a committee of experts but have not generally undergone the same peer review process required for publication in a scientific journal. As such, the findings presented should be considered preliminary until a peer-reviewed publication is available.
About NUTRITION 2022 LIVE ONLINE
NUTRITION 2022 LIVE ONLINE is part of a new year-around experience featuring ASN’s flagship annual meeting held virtually June 14-16, 2022, plus learning and networking opportunities that will be offered throughout the year. The online annual meeting is a dynamic virtual event showcasing new research findings and timely discussions on food and nutrition. Scientific symposia explore hot topics including clinical and translational nutrition, food science and systems, global and public health, population science and cellular and physiological nutrition and metabolism. https://nutrition.org/n23/ #NutritionLiveOnline
About the American Society for Nutrition (ASN)
ASN is the preeminent professional organization for nutrition research scientists and clinicians around the world. Founded in 1928, the society brings together the top nutrition researchers, medical practitioners, policy makers and industry leaders to advance our knowledge and application of nutrition. ASN publishes four peer-reviewed journals and provides education and professional development opportunities to advance nutrition research, practice and education. https://nutrition.org/
Find more news briefs and tipsheets at: https://www.eurekalert.org/newsroom/nutrition2022/home. Watch on-demand sessions, view posters and more by registering for a free pass to attend the virtual meeting.



